二維二聚體量子反鐵磁體的一個普適量的數值

  • Post author:

【本篇報導由本院物理學系 江府峻教授研究團隊提供】

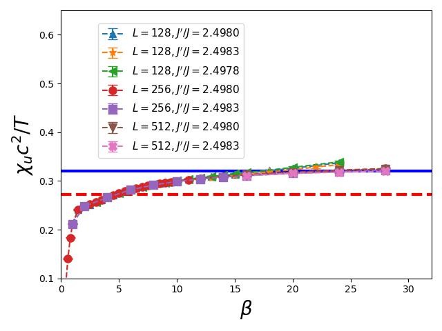
  江教授利用量子蒙地卡羅方法,針對二維二聚體自旋 1/2 反鐵磁體進行大規模模擬,計算量子臨界區中的普適常數 χu c²/T。研究在中低溫、超過 25 萬個自旋的大晶格下進行,結果顯示 χu c²/T 約為 0.32。此數值與近期其他數值研究一致,但高於理論預測的 0.27185。

  二維量子反鐵磁體在有限溫度下不存在自發對稱破缺,因此由零溫升溫時會進入量子臨界區。該區域的普適常數應與微觀細節無關,因此理論與模擬的差異成為重要課題。本研究的結果支持 χu c²/T 約為 0.32,顯示有必要進一步修正或檢驗相關理論模型。

圖一: χuc2/T對溫度倒數 β 的關係式。